Solutions to Problem Set 10

Page 545 #5 Problem 1

Page 545 concluded

Problem 2 irreducible polynomials over Z/pZ

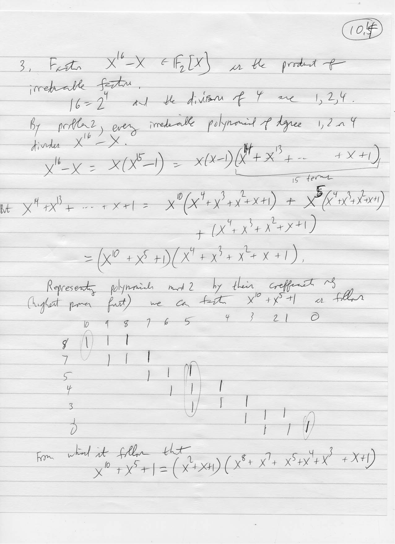
Problem 3 factorization over Z/2Z.

Problem 3 concluded

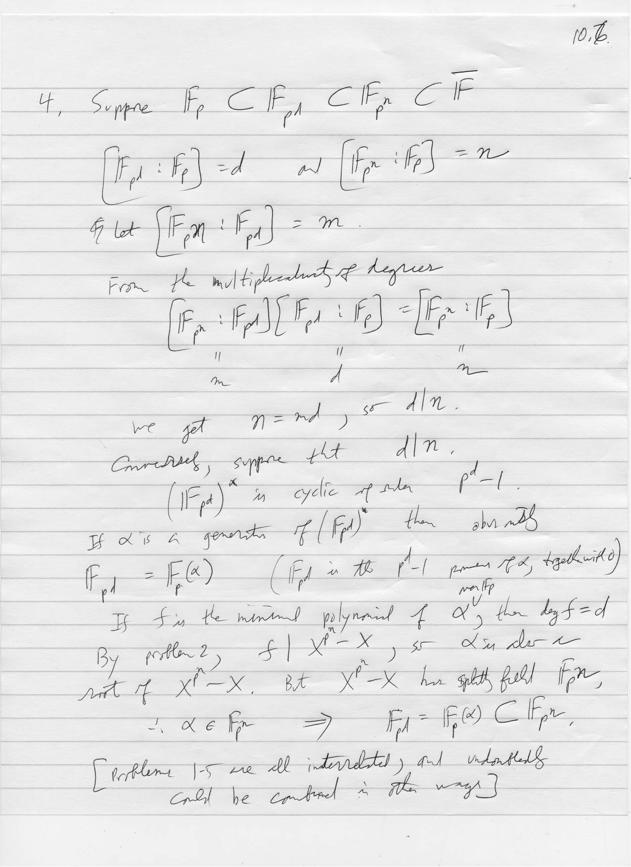
Problem 4 inclusion of finite fields

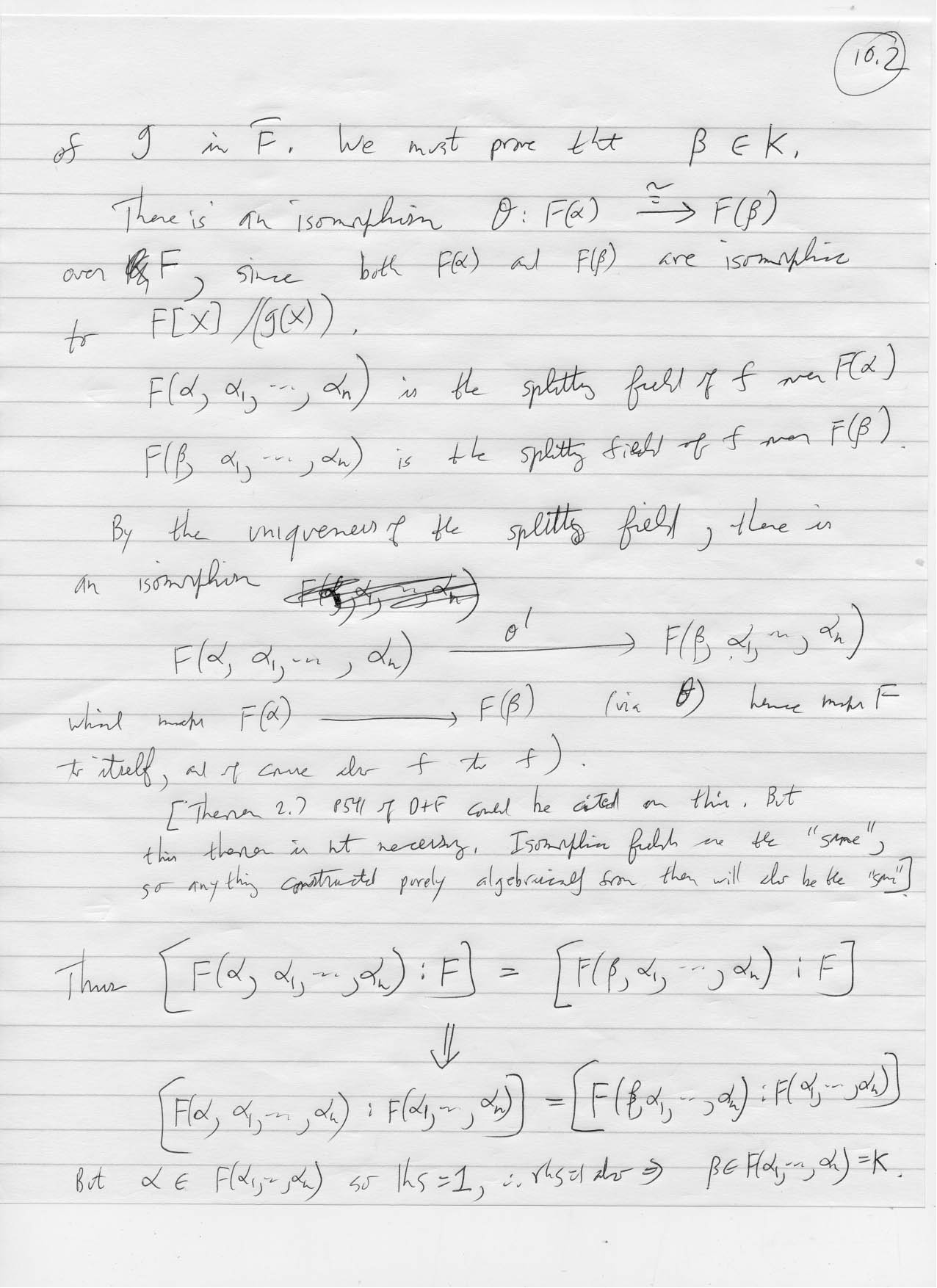
Page 551, #5 Problem 5

Page 551, #5 concluded, Page 555, #4 Problem 6

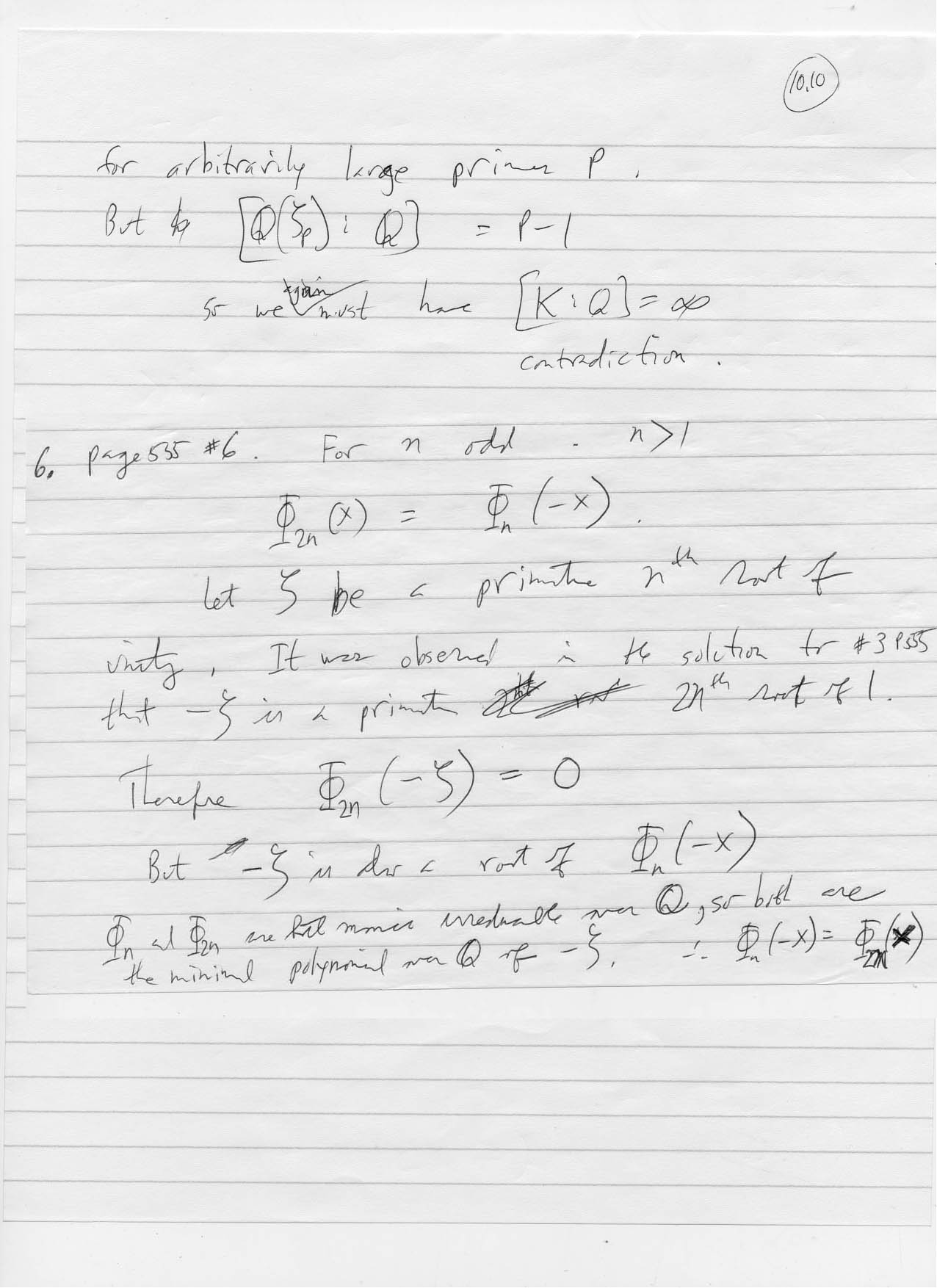
Page 555, #5

Page 555, #5 concluded, Page 555, #6

e-mail address: robertsl@mast.queensu.ca