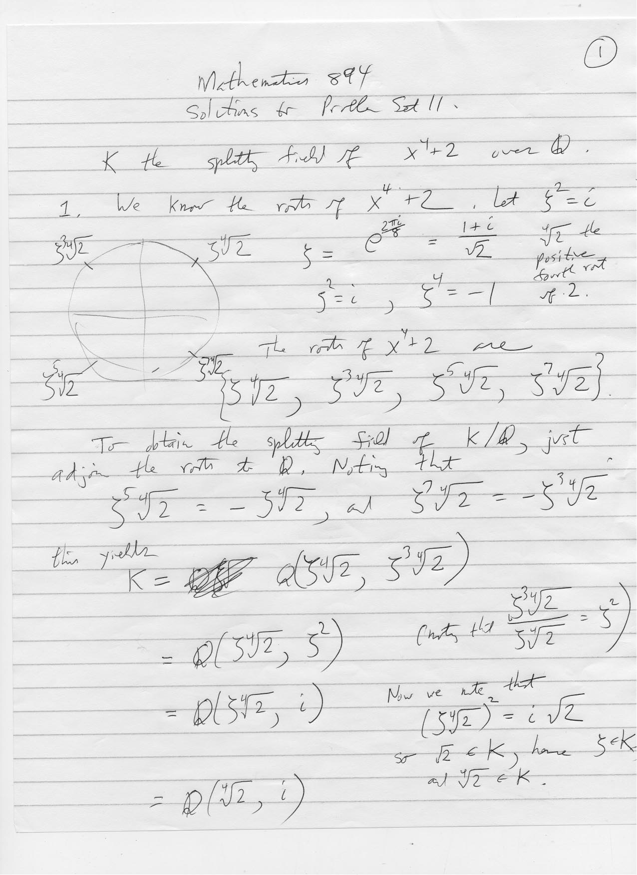
Solutions to Problem Set 11

Galois group of the splitting field K of x^4+2 over Q.

#1 Find field generators of K over Q.

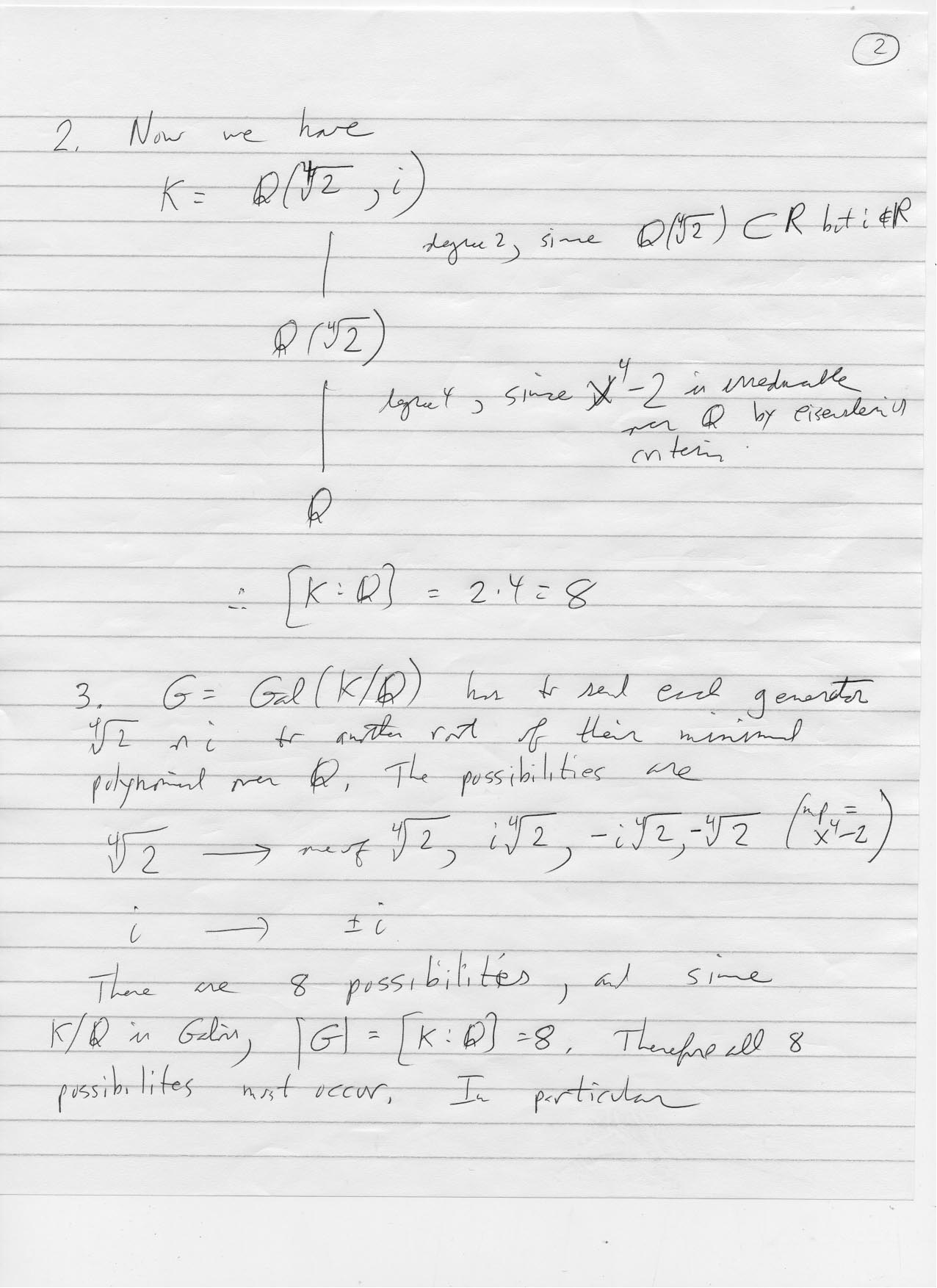
#2, #3 Find degree of K over Q, and Gal(K/Q)

#3 continued find action of G on the field generators from #1

#3 continued find action of G on roots of x^4+2

#3 concluded, #4 lattice of subgroups of G

#4 continued find fixed field of each subgroup of G

#4 continued

#4 continued find lattice of subfields corresponding to latttice of subgroups

#5 find normal subgroups of G and corresponding Galois extensions of Q

#6 find primitive element of K over Q

e-mail address: robertsl@mast.queensu.ca