Solutions to Problem Set 2

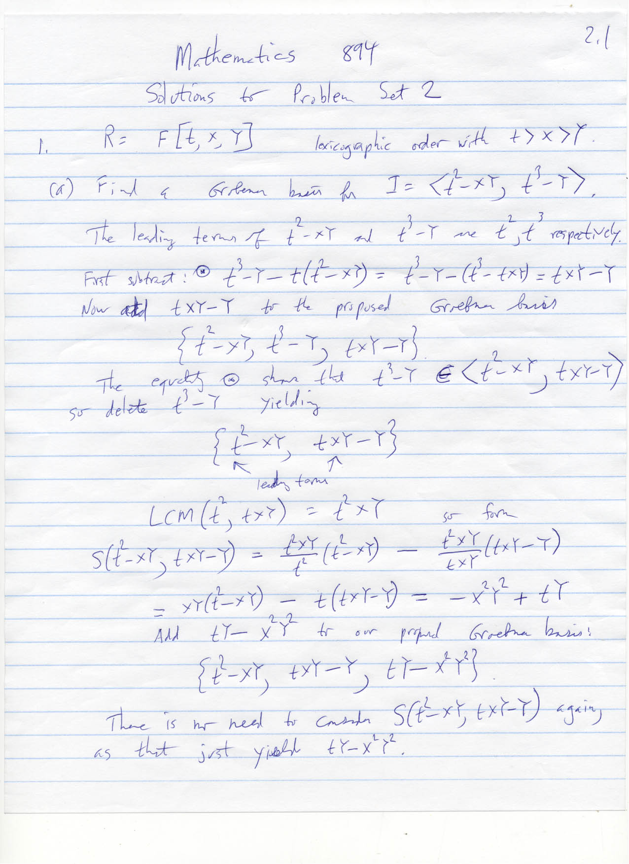
Problem 1 (a) Groebner basis.

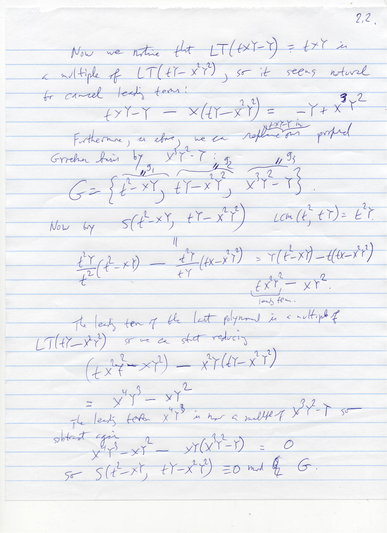
Problem 1 (a) continued

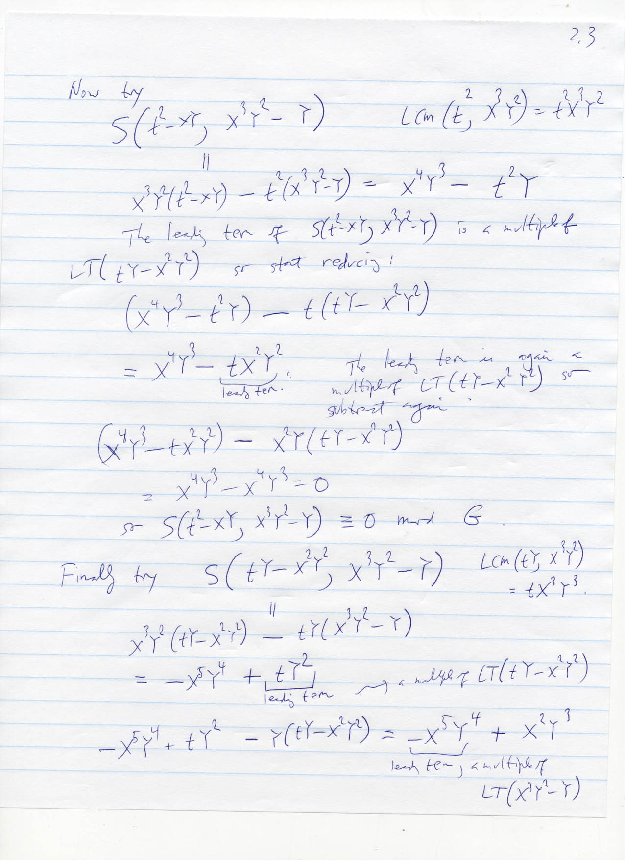
Problem 1 (a) continued

Problem 1(a) continued , 1(b) ,2 Ideal of leading terms, coordinatewise order

Problem 2 continued minimal generators of a monomial ideal

Problem 2 continued, 3 I/I^2

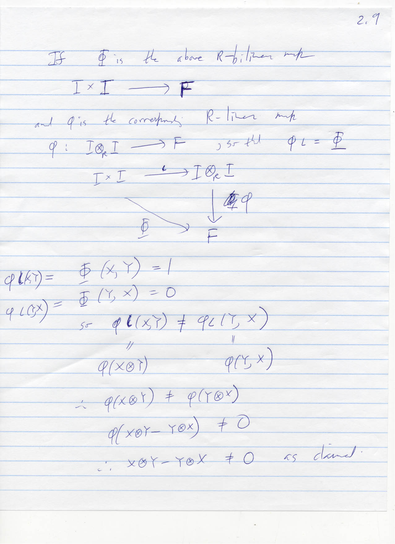
Problem 4 I tensor I

Problem 4 continued

Problem 4 continued

e-mail address: robertsl@mast.queensu.ca