Solutions to Problem Set 5

Problem 1: Page 403 #1(b)

Page 403 #1(c)

Problem 2 inequivalent exact sequences

Problem 2 continued

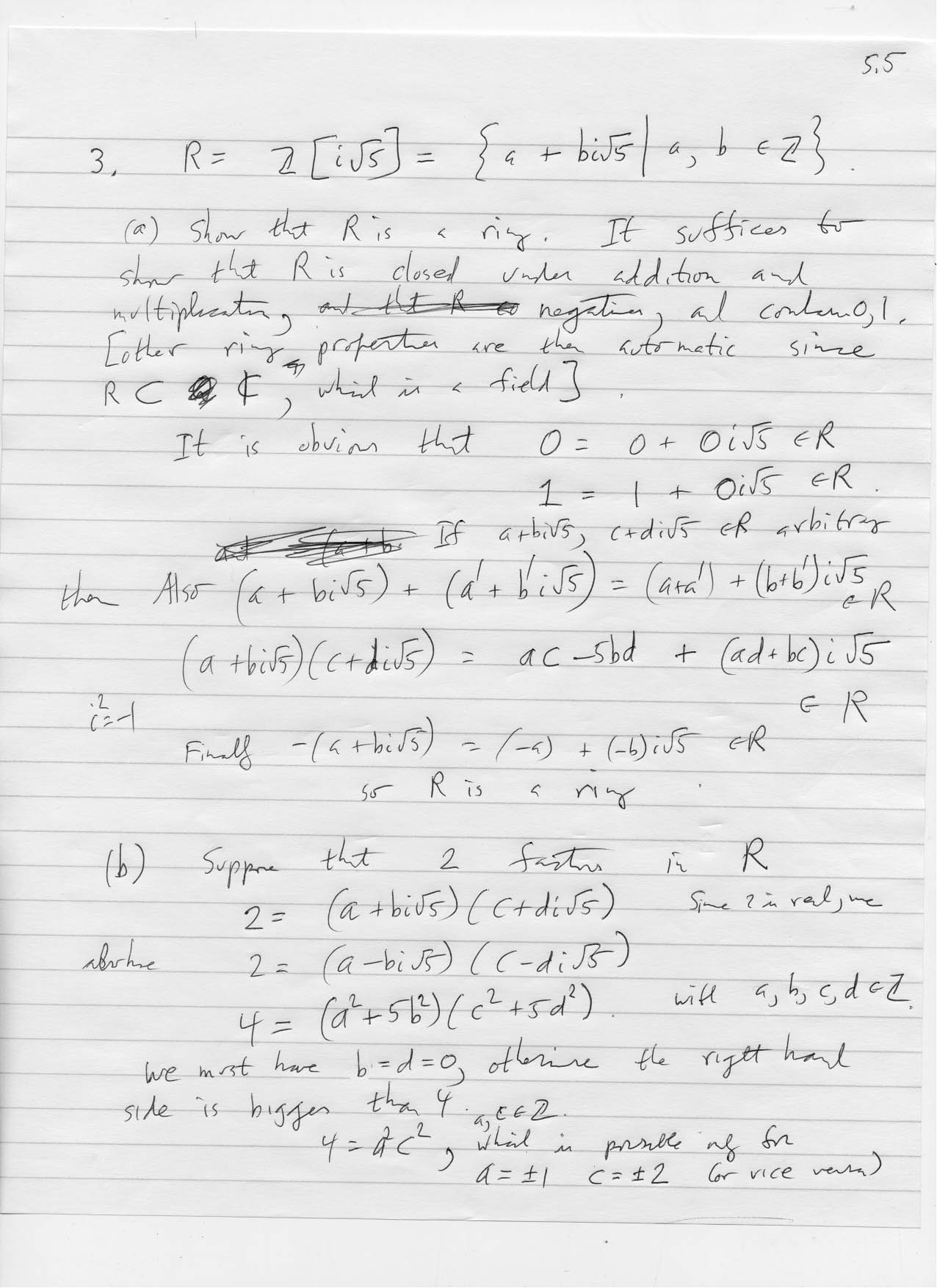
Problem 3 ideals in the ring of integers of a number field

Problem 3 continued

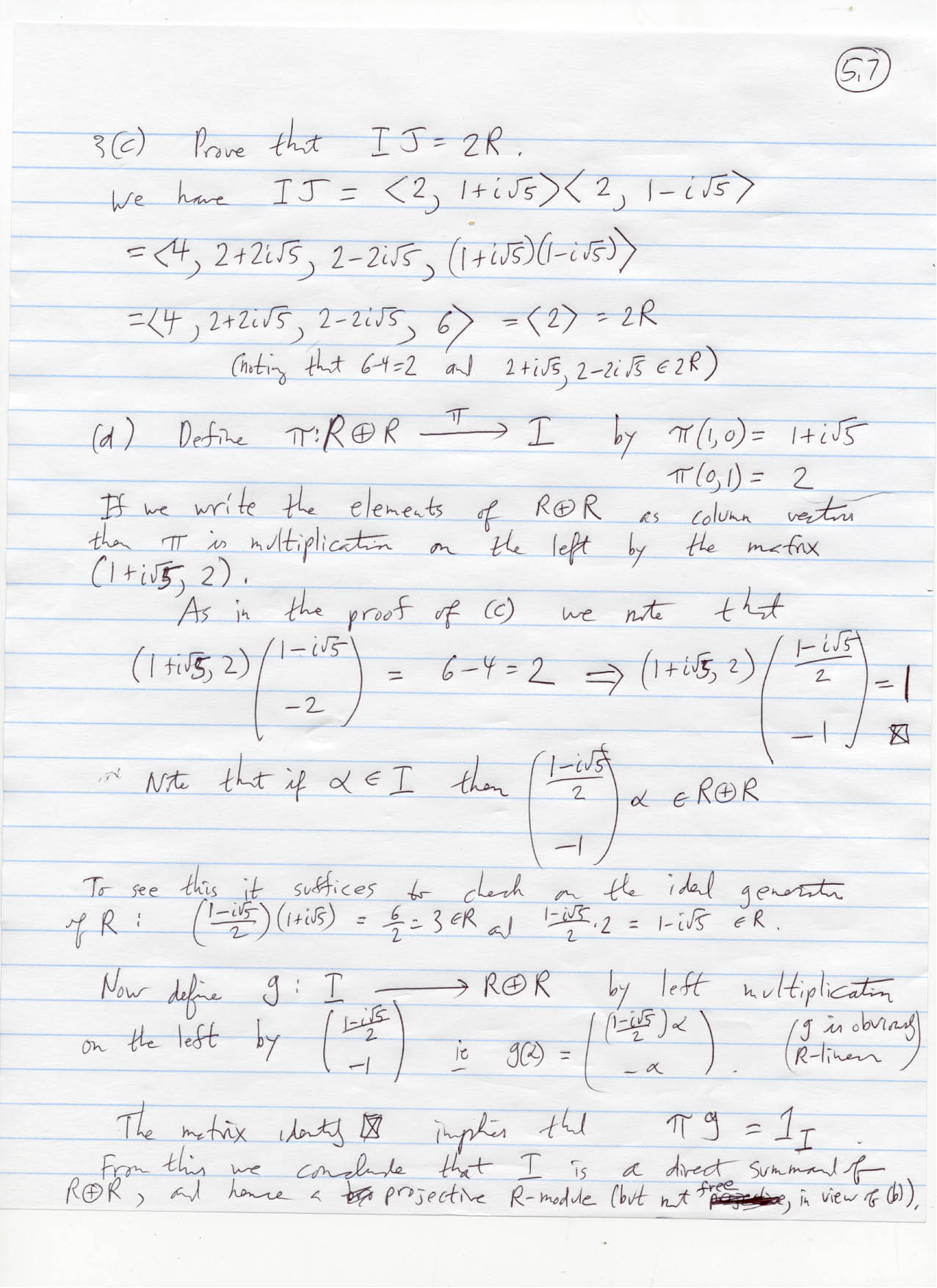
Problem 3 continued (c), (d)

Problem 3 continued (e), (f)

e-mail address: robertsl@mast.queensu.ca