Solutions to Problem Set 6
Solutions to Problem Set 6
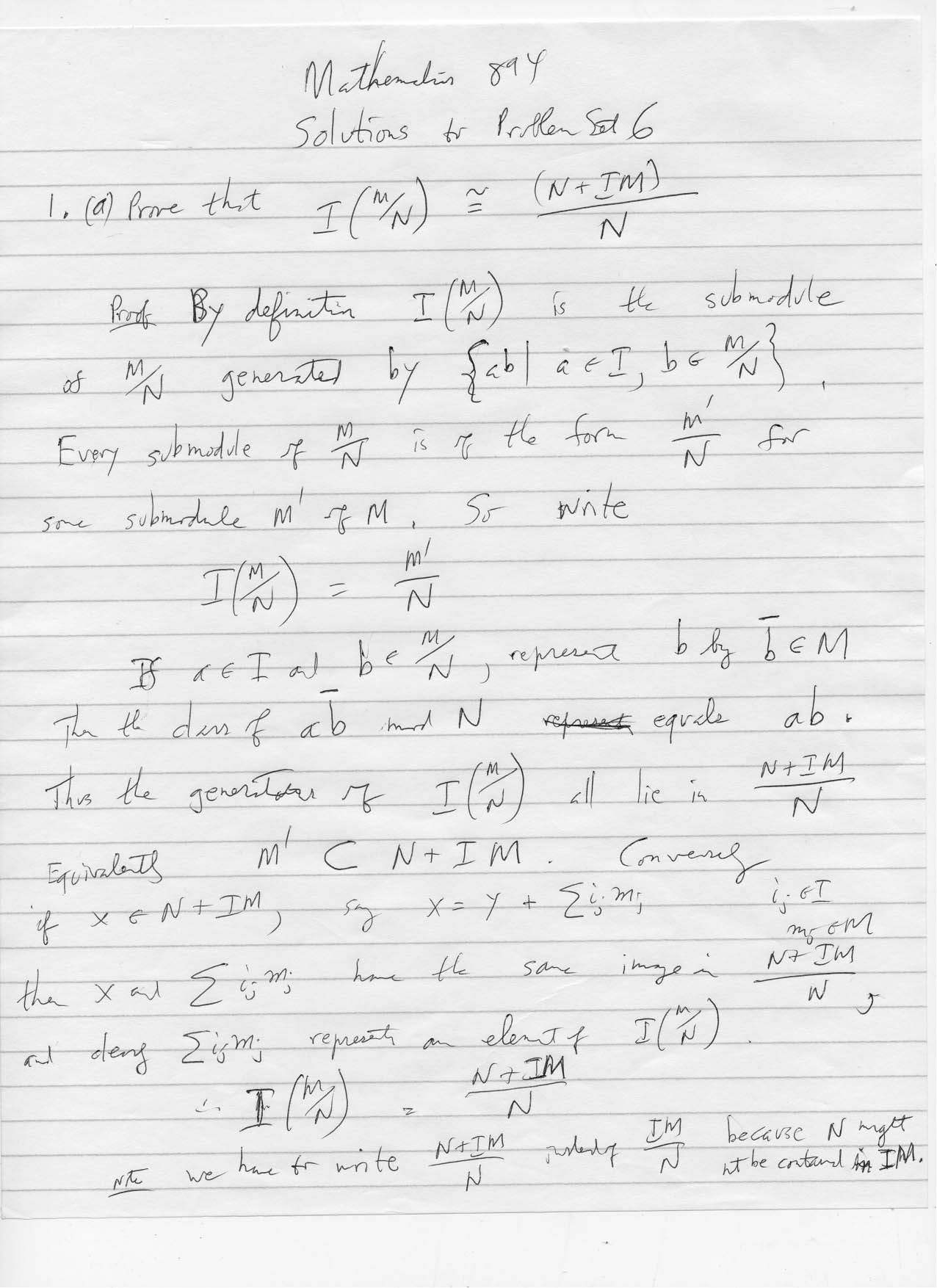
Problem 1(a) I(M/N)
Problem 1(b)
Problem 1(c), 2
Problem 2 continued, 3
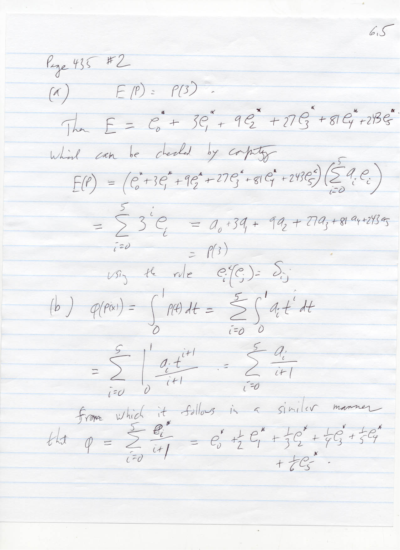
3. Page 435 #2(a)(b)
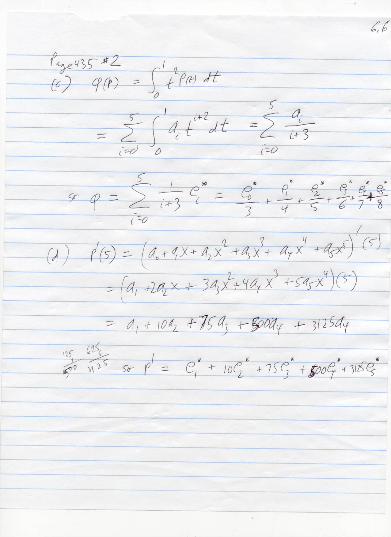
Page 435 #2(c)(d)
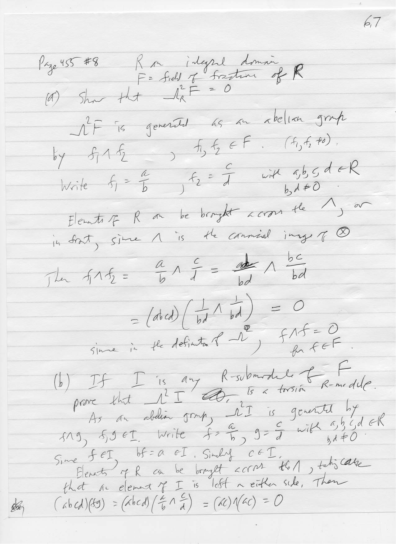
4. Page 455 #8(a)(b)
Page 455 #8(c)
Page 455 #8(c) continued
e-mail address: robertsl@mast.queensu.ca