Solutions to Problem Set 7
Solutions to Problem Set 7
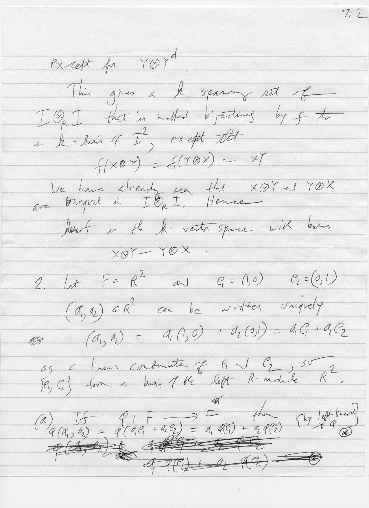
Problem 1
Problem 1 continued, Problem 2(a)
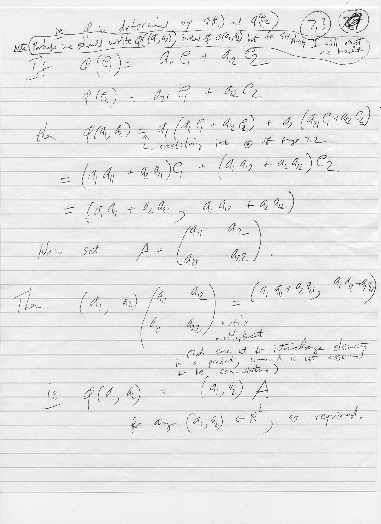
Problem 2(a) completed
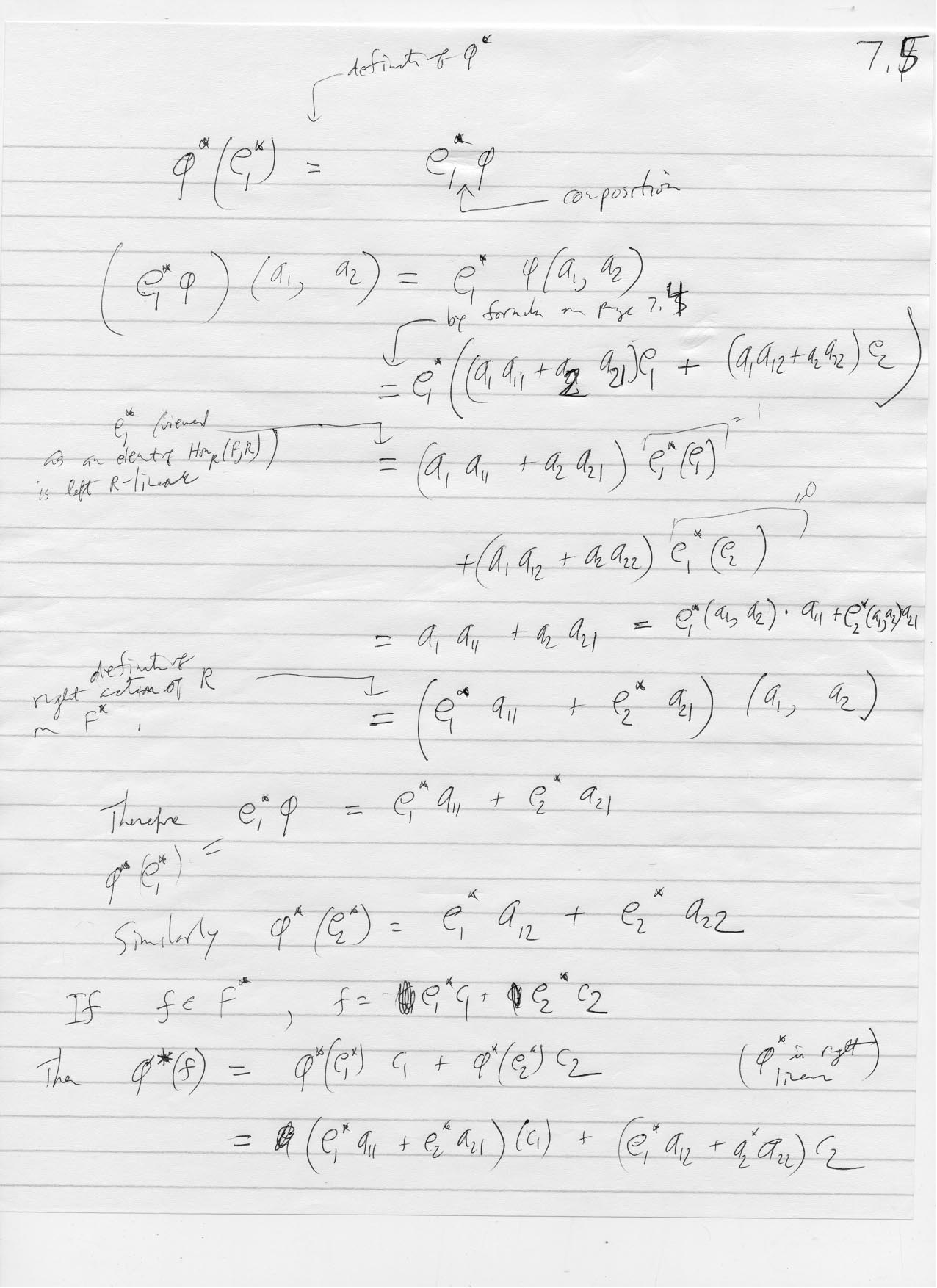
Problem 2(b), (c)
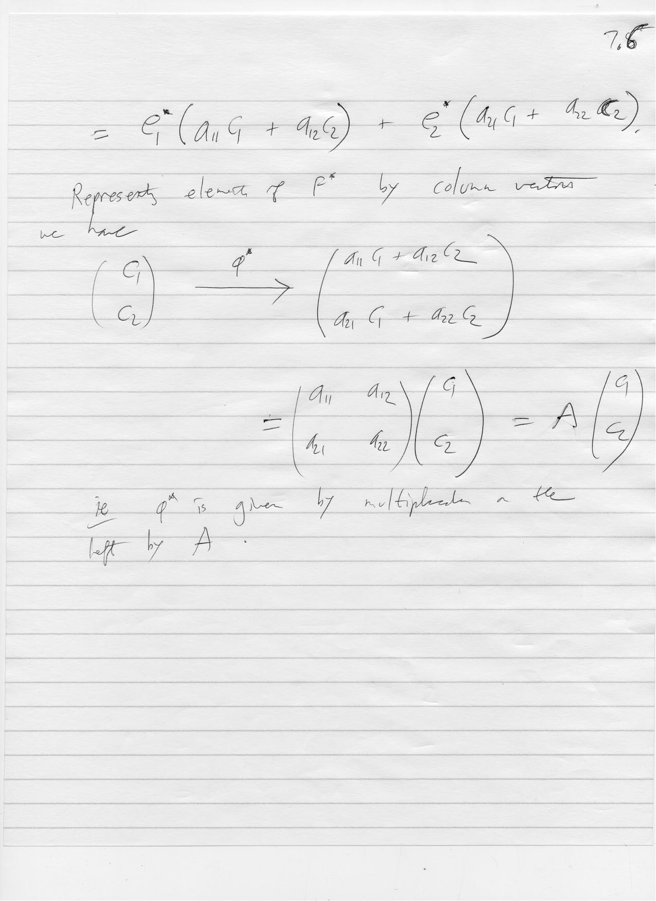
Problem 2(c) continued
Problem 2(c) completed
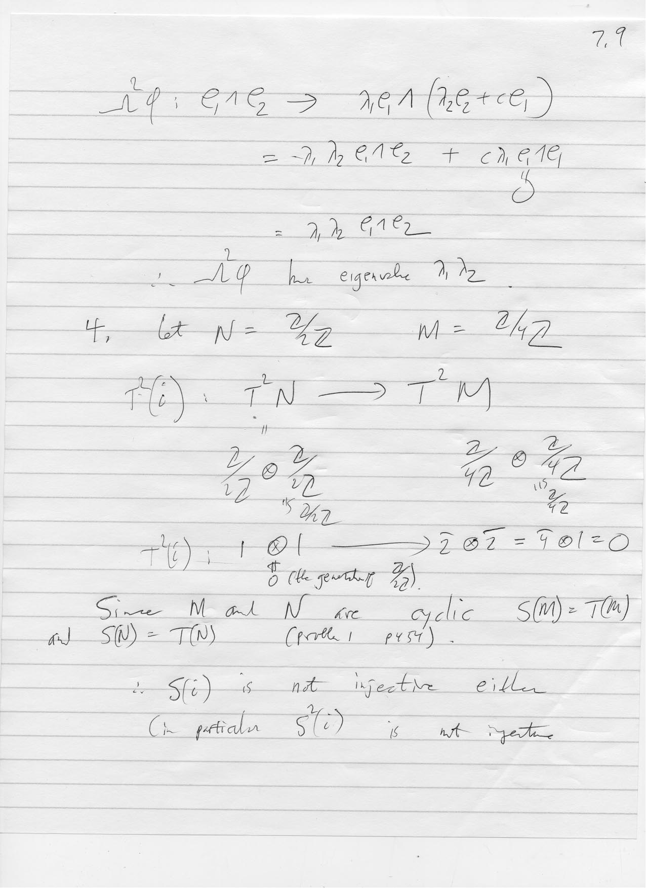
Problem 3(a)(b)
Problem 3(b) continued
Problem 3(b) completed, Problem 4
e-mail address: robertsl@mast.queensu.ca