Solutions to Problem Set 8
Solutions to Problem Set 8
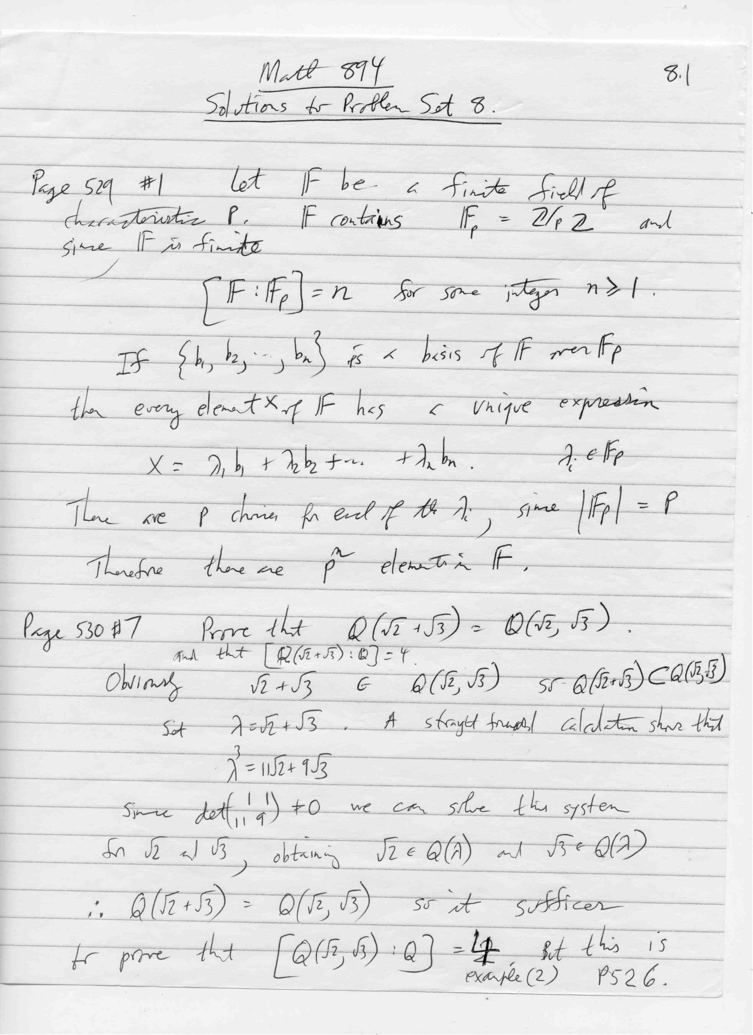
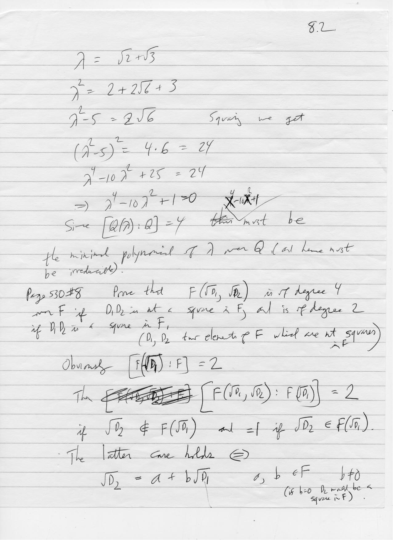
Page 529 #1, Page 530 #7
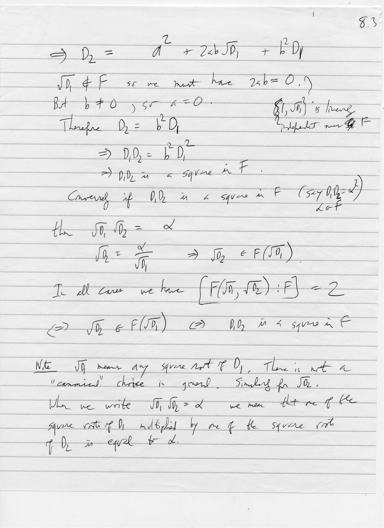
Page 530 #8
continued
Page 530 #13, #14
Page 530 #14 continued
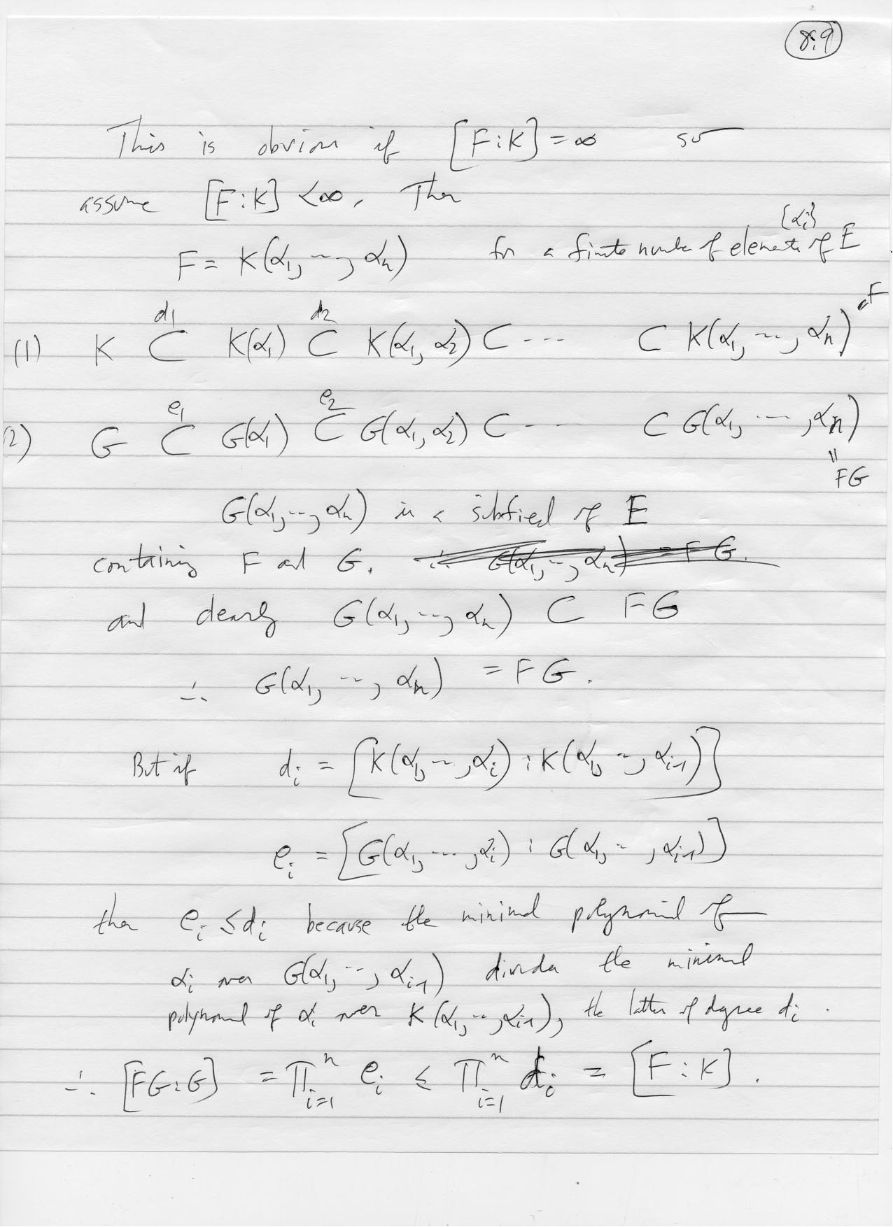
Problem 6
Problem 6 continued
Problem 6 continued Also additional remarks.
Additional remarks continued
Additional remarks continued
e-mail address: robertsl@mast.queensu.ca