Solutions to Problem Set 9
Solutions to Problem Set 9
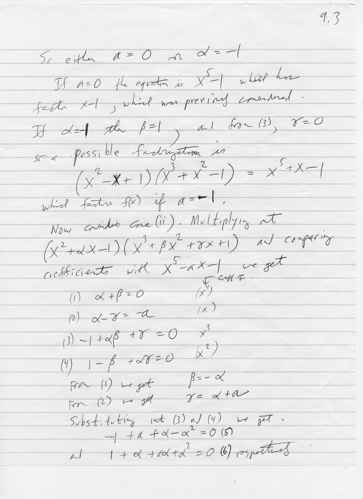
Page 519 #7, Page 519 #8 Problem 1
Page 519 #8 continued
Page 519 #8 continued
Page 519 #8 concluded
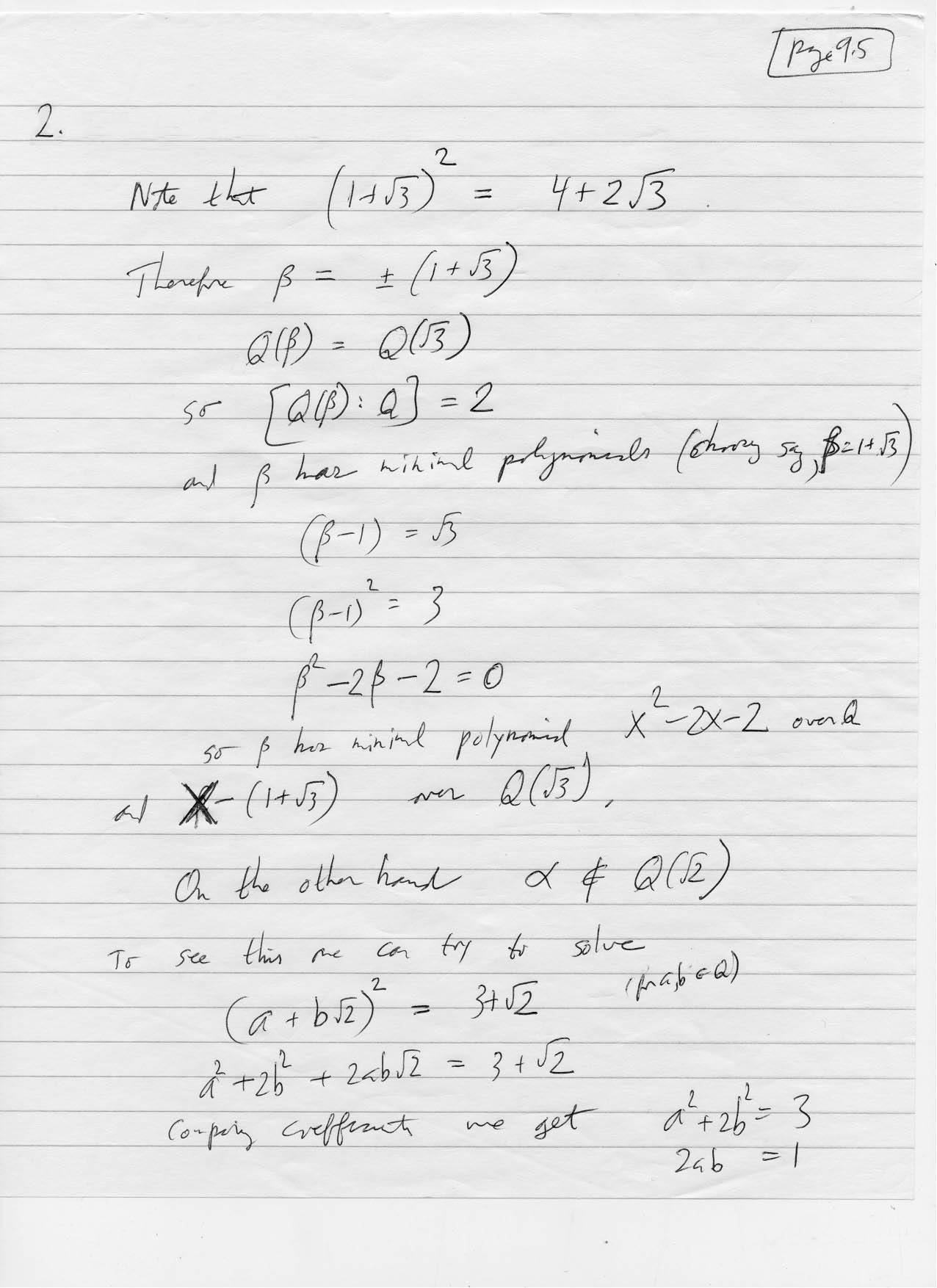
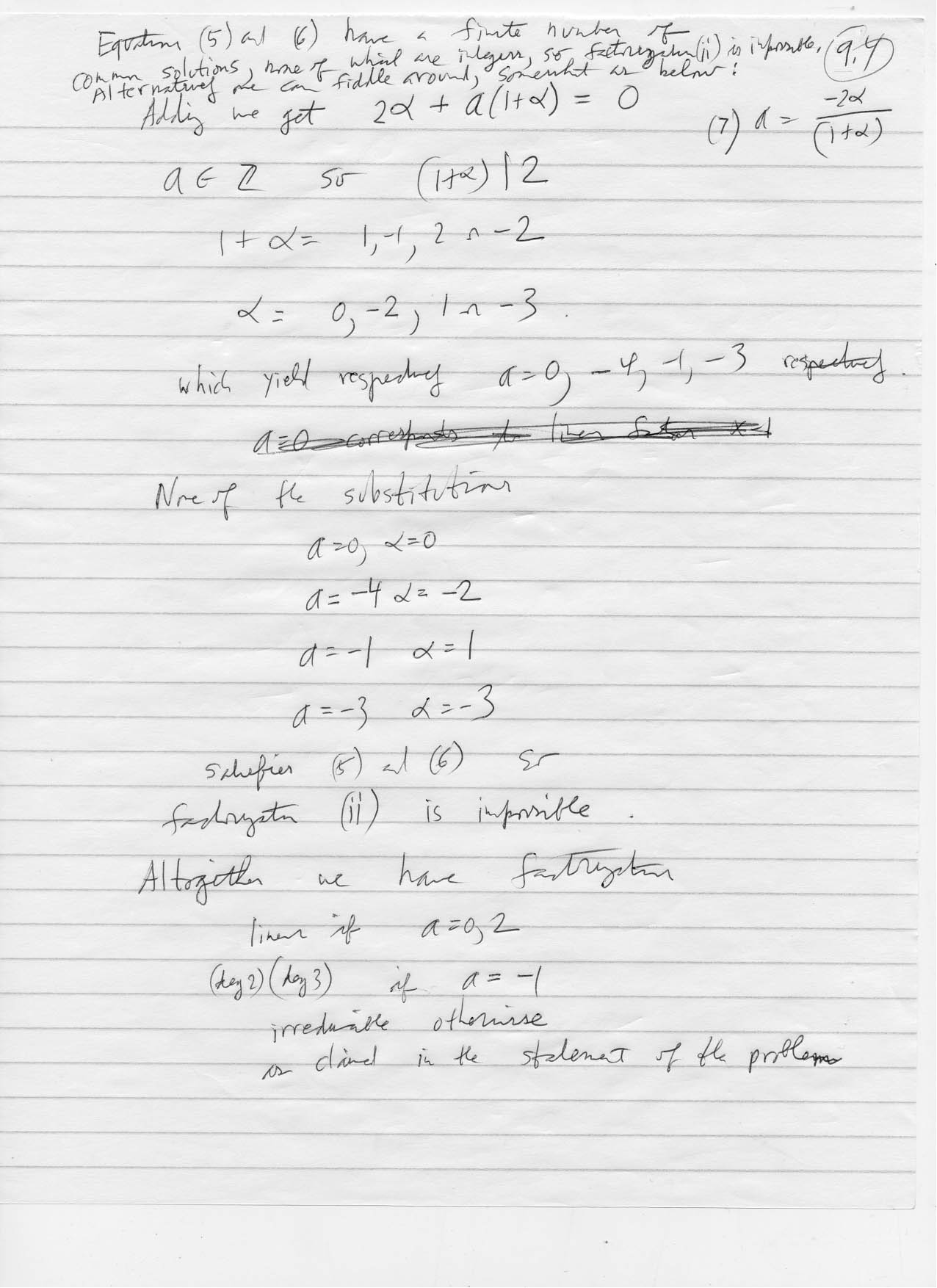
Problem 2 minimal polynomials
Problem 2 concluded
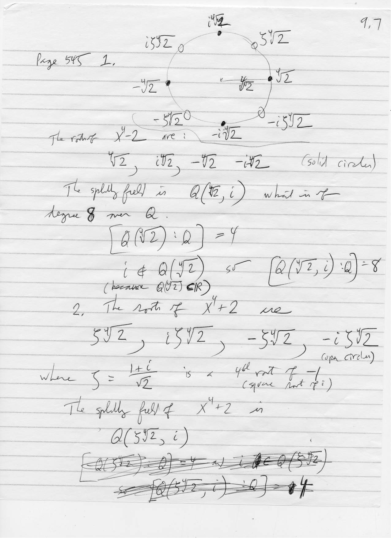
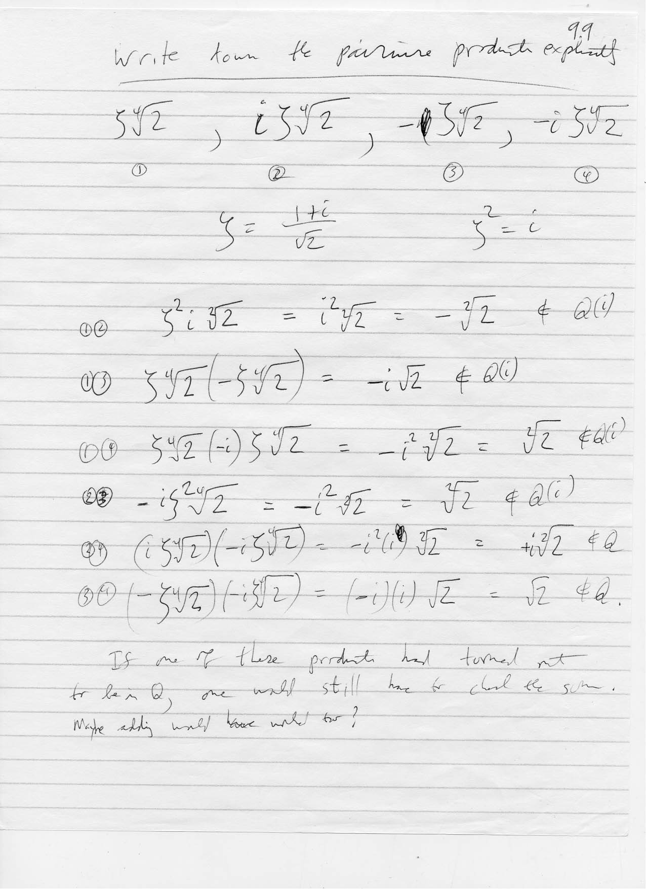
Page 545, #1-2 Problem 3
Page 545, #2 continued
Page 545, #2 concluded
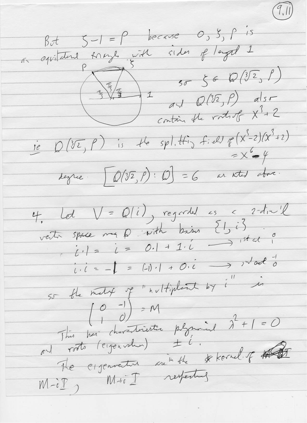
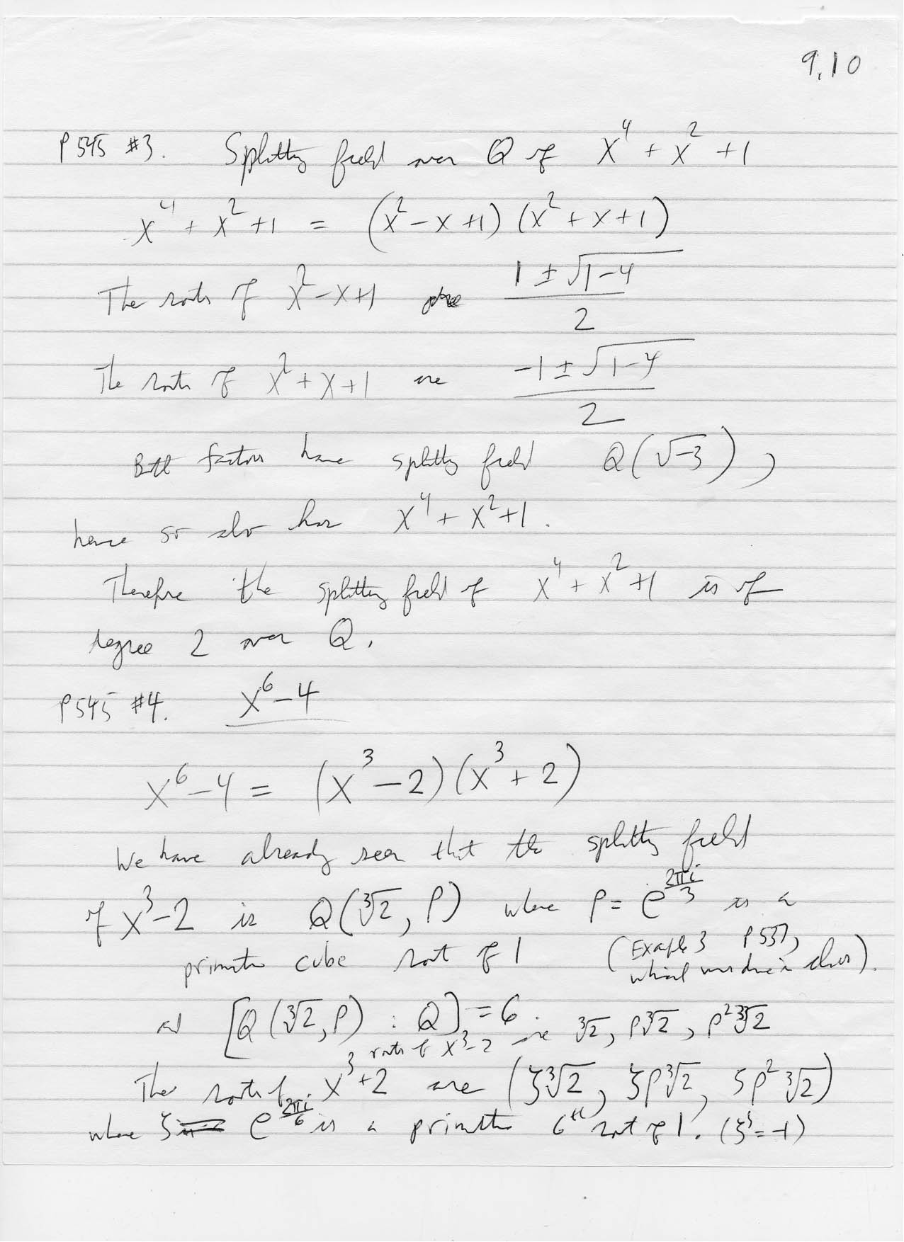
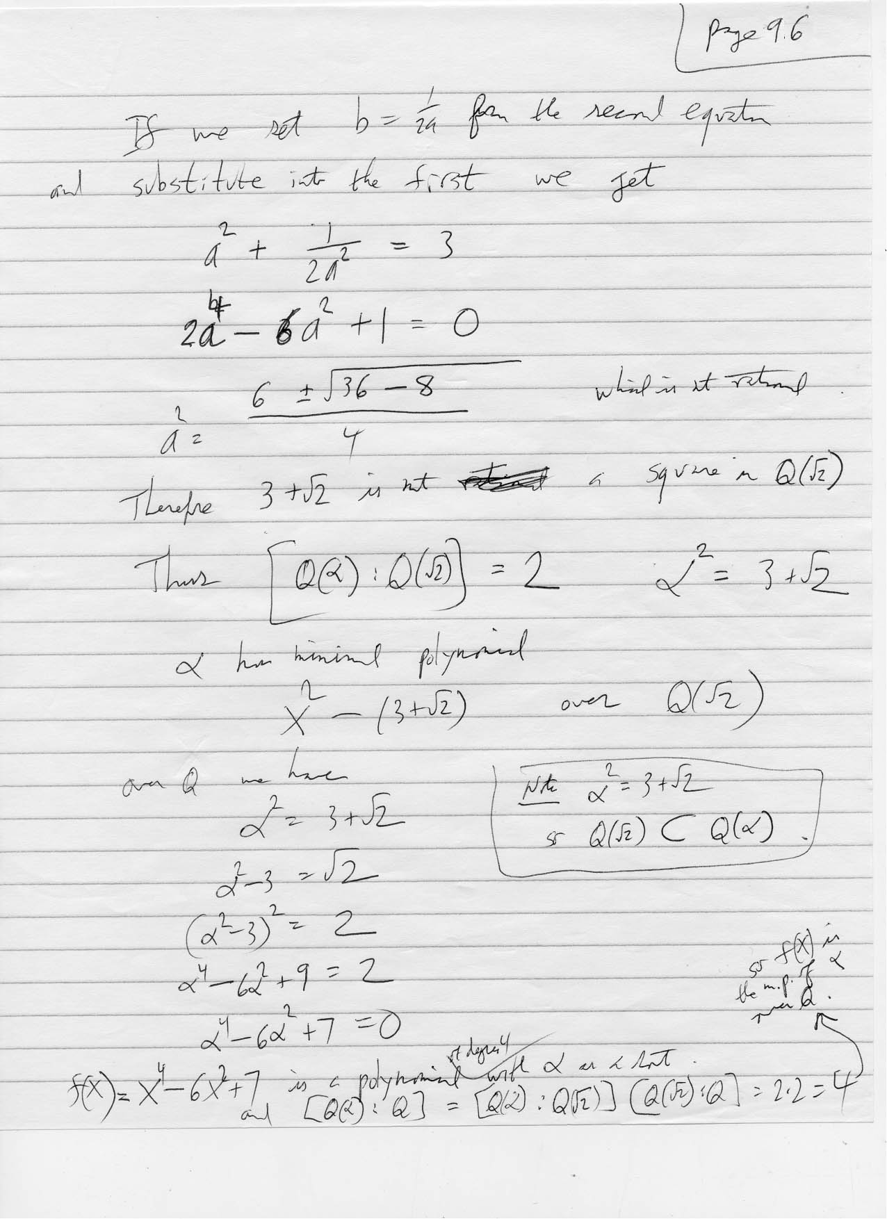
Page 545, #3-4
Page 545, #4 concluded, Problem 4
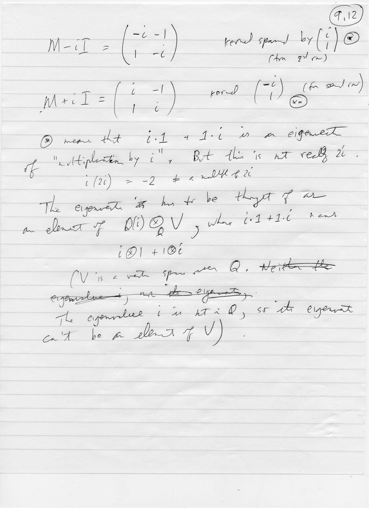
Problem 4 concluded
e-mail address: robertsl@mast.queensu.ca